Skip to content Skip to sidebar Skip to footer

Mentholatum V Mangaliman

Mentholatum Vs Mangaliman Digest Mentholatum

Mentholatum Vs Mangaliman Digest Mentholatum

Mentholatum v mangaliman. Add to list. Instituted an action in the Court of First Instance of Manila civil case No. Mentholatum inc vs mangaliman.

Enrico Palomar as The Postmaster General GR. 48855 against Anacleto Mangaliman Florencio Mangaliman and the Director of the Bureau of Commerce for infringement of trade mark and unfair competition. On October 1 1935 the Mentholatum Co Inc and the Philippine-American Drug Co Inc.

In the case at. April 14 agilent technologies singapore pte ltd petitioner vs. Cebu Stevedoring Co Inc 17 SCRA 1037.

And EDGE cites the cases of Mentholatum Co. ANACLETO MANGALIMAN ET AL Respondents. E Philippine Supreme Court further stated that the term implies a continuity of commercial dealings and arrangements and contemplates to.

4 Rule 8 Revised Rules of Court. Rate Review our products. Of Mentholatum v Mangaliman GR.

Instituted an action in the Court of First Instance of Manila civil case No. This is a petition for a writ of certiorari to review the decision of the Court of Appeals dated June 29 1940 reversing the judgment of the Court of First Instance of Manila and dismissing. Add to registry Mentholatum Natural Ice SunscreenLip Protectant SPF 30 Sport 1 Each Pack of 12 0 Reviews.

Mentholatum v Mangaliman 72 Phil 525 1941 i Territoriality Rule Doing business. 524 June 27 1941pdf from CORPO 101 at Arellano University Law School.

Mentholatum Inc Vs Mangaliman Mentholatum

Mentholatum Inc Vs Mangaliman Mentholatum

05 Mentholatum Co V Mangaliman G R No L 47701 The Mentholatum Co Inc Et Al Petitioners Vs Anacleto Mangaliman Et Al Respondents Topic Foreign Course Hero

05 Mentholatum Co V Mangaliman G R No L 47701 The Mentholatum Co Inc Et Al Petitioners Vs Anacleto Mangaliman Et Al Respondents Topic Foreign Course Hero

29 Mentholatum V Mangaliman Trademark Lawsuit

29 Mentholatum V Mangaliman Trademark Lawsuit

05 Mentholatum Co V Mangaliman Trademark U S Securities And Exchange Commission

05 Mentholatum Co V Mangaliman Trademark U S Securities And Exchange Commission

Mentholatum Inc Vs Mangaliman Mentholatum

Mentholatum Inc Vs Mangaliman Mentholatum

Mentholatum Inc Vs Mangaliman Mentholatum

Mentholatum Inc Vs Mangaliman Mentholatum

Mentholatum Inc Vs Mangaliman Mentholatum

Mentholatum Inc Vs Mangaliman Mentholatum

Mentholatum Inc Vs Mangaliman Mentholatum

Mentholatum Inc Vs Mangaliman Mentholatum

29 Mentholatum V Mangaliman Trademark Lawsuit

29 Mentholatum V Mangaliman Trademark Lawsuit

Mentholatum Inc Vs Mangaliman Mentholatum

Mentholatum Inc Vs Mangaliman Mentholatum

246 Mentholatum Co V Mangaliman Et Al Mendoza Docx Trademark Corporate Law

246 Mentholatum Co V Mangaliman Et Al Mendoza Docx Trademark Corporate Law

Mentholatum Inc Vs Mangaliman Mentholatum

Mentholatum Inc Vs Mangaliman Mentholatum

Mentholatum Inc Vs Mangaliman Mentholatum

Mentholatum Inc Vs Mangaliman Mentholatum

246 Mentholatum Co V Mangaliman Et Al Mendoza Docx Trademark Corporate Law

246 Mentholatum Co V Mangaliman Et Al Mendoza Docx Trademark Corporate Law

Mentholatum Inc Vs Mangaliman Mentholatum

Mentholatum Inc Vs Mangaliman Mentholatum

Mentholatum Vs Mangaliman Digest Mentholatum

Mentholatum Vs Mangaliman Digest Mentholatum

29 Mentholatum V Mangaliman Trademark Lawsuit

29 Mentholatum V Mangaliman Trademark Lawsuit

05 Mentholatum Co V Mangaliman G R No L 47701 The Mentholatum Co Inc Et Al Petitioners Vs Anacleto Mangaliman Et Al Respondents Topic Foreign Course Hero

05 Mentholatum Co V Mangaliman G R No L 47701 The Mentholatum Co Inc Et Al Petitioners Vs Anacleto Mangaliman Et Al Respondents Topic Foreign Course Hero

Mentholatum Inc Vs Mangaliman Mentholatum

Mentholatum Inc Vs Mangaliman Mentholatum

05 Mentholatum Co V Mangaliman G R No L 47701 The Mentholatum Co Inc Et Al Petitioners Vs Anacleto Mangaliman Et Al Respondents Topic Foreign Course Hero

05 Mentholatum Co V Mangaliman G R No L 47701 The Mentholatum Co Inc Et Al Petitioners Vs Anacleto Mangaliman Et Al Respondents Topic Foreign Course Hero

Mentholatum Inc Vs Mangaliman Mentholatum

Mentholatum Inc Vs Mangaliman Mentholatum

29 Mentholatum V Mangaliman Trademark Lawsuit

29 Mentholatum V Mangaliman Trademark Lawsuit

05 Mentholatum Co V Mangaliman G R No L 47701 The Mentholatum Co Inc Et Al Petitioners Vs Anacleto Mangaliman Et Al Respondents Topic Foreign Course Hero

05 Mentholatum Co V Mangaliman G R No L 47701 The Mentholatum Co Inc Et Al Petitioners Vs Anacleto Mangaliman Et Al Respondents Topic Foreign Course Hero

Mentholatum Inc Vs Mangaliman Mentholatum

Mentholatum Inc Vs Mangaliman Mentholatum

05 Mentholatum Co V Mangaliman G R No L 47701 The Mentholatum Co Inc Et Al Petitioners Vs Anacleto Mangaliman Et Al Respondents Topic Foreign Course Hero

05 Mentholatum Co V Mangaliman G R No L 47701 The Mentholatum Co Inc Et Al Petitioners Vs Anacleto Mangaliman Et Al Respondents Topic Foreign Course Hero

Mentholatum Inc Vs Mangaliman Mentholatum

Mentholatum Inc Vs Mangaliman Mentholatum

215 Mentholatum Co V Mangaliman Trademark U S Securities And Exchange Commission

215 Mentholatum Co V Mangaliman Trademark U S Securities And Exchange Commission

Mentholatum Inc Vs Mangaliman Mentholatum

Mentholatum Inc Vs Mangaliman Mentholatum

29 Mentholatum V Mangaliman Trademark Lawsuit

29 Mentholatum V Mangaliman Trademark Lawsuit

Mentholatum Inc Vs Mangaliman Mentholatum

Mentholatum Inc Vs Mangaliman Mentholatum

29 Mentholatum V Mangaliman Trademark Lawsuit

29 Mentholatum V Mangaliman Trademark Lawsuit

Doing Business In The Philippines For Foreign Corporations

Doing Business In The Philippines For Foreign Corporations

Mentholatum Inc Vs Mangaliman Mentholatum

Mentholatum Inc Vs Mangaliman Mentholatum

29 Mentholatum V Mangaliman Trademark Lawsuit

29 Mentholatum V Mangaliman Trademark Lawsuit

Jurisprudential Tests Of Doing Business In The Philippines Law Firm In Metro Manila Philippines Corporate Family Ip Law And Litigation Lawyers

Jurisprudential Tests Of Doing Business In The Philippines Law Firm In Metro Manila Philippines Corporate Family Ip Law And Litigation Lawyers

Mentholatum Inc Vs Mangaliman Mentholatum

Mentholatum Inc Vs Mangaliman Mentholatum

The Corporation Code Reviewer Pdf Document

The Corporation Code Reviewer Pdf Document

Doing Business In The Philippines For Foreign Corporations

Doing Business In The Philippines For Foreign Corporations

29 Mentholatum V Mangaliman Trademark Lawsuit

29 Mentholatum V Mangaliman Trademark Lawsuit

Mentholatum Inc Vs Mangaliman Mentholatum

Mentholatum Inc Vs Mangaliman Mentholatum

Doing Business In The Philippines For Foreign Corporations

Doing Business In The Philippines For Foreign Corporations

29 Mentholatum V Mangaliman Trademark Lawsuit

29 Mentholatum V Mangaliman Trademark Lawsuit

Mentholatum Vs Mangaliman Digest Mentholatum

Mentholatum Vs Mangaliman Digest Mentholatum

2

2

Doing Business In The Philippines For Foreign Corporations

Doing Business In The Philippines For Foreign Corporations

5 2020 Up Boc Commercial Law Reviewer 5lw2rmzj8klj

5 2020 Up Boc Commercial Law Reviewer 5lw2rmzj8klj

Mentholatum Vs Mangaliman Digest Mentholatum

Mentholatum Vs Mangaliman Digest Mentholatum

Notes Repository Ausl 2002 2006 Narratives Berne Guerrero

Notes Repository Ausl 2002 2006 Narratives Berne Guerrero

2

2

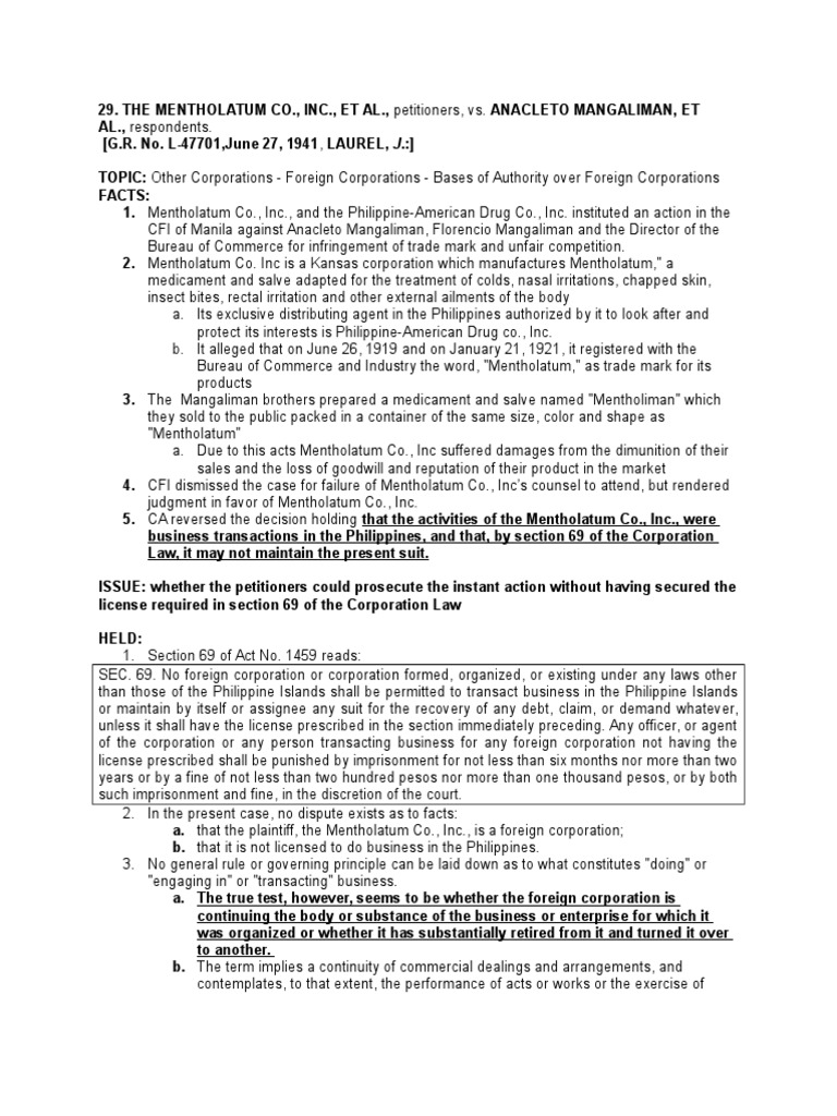
THE MENTHOLATUM CO INC ET AL.

Integrated silicon technology philippines corporation teoh. Of Mentholatum v Mangaliman GR. Instituted an action in the Court of First Instance of Manila civil case No. L-47701 27 June 1941. Araneta Zaragoza Araneta Bautista for petitioners. On October 1 1935 the Mentholatum Co Inc and the Philippine-American Drug Co Inc. And EDGE cites the cases of Mentholatum Co. Instituted an action in the Court of First Instance of Manila civil case No. Mangaliman et al GR.


Mangaliman et al GR. L-47701 27 June 1941. On October 1 1935 the Mentholatum Co Inc and the Philippine-American Drug Co Inc. 48855 against Anacleto Mangaliman Florencio Mangaliman and the Director of the Bureau of Commerce for infringement of trade mark and unfair competition. ANACLETO MANGALIMAN ET AL Respondents. Instituted an action in the Court of First Instance of Manila civil case No. Not sold in stores.

Post a Comment for "Mentholatum V Mangaliman"